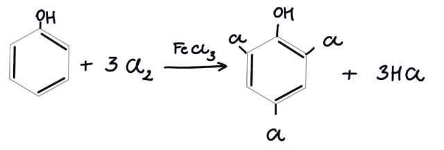
W tym zadaniu zapisać równanie reakcji związku nr IV z trzema cząsteczkami chloru.
Jest to reakcja substytucji elektrofilowej.
Substytucja elektrofilowa polega na „atakowaniu” związku aromatycznego przez elektrofil.
Zadanie 1.26.
11Zadanie 1.31.
5Zadanie 1.32.
14Zadanie 1.33.
14Zadanie 1.34.
14Zadanie 1.35.
15Zadanie 1.36.
15Zadanie 1.37.
15Zadanie 1.38.
16Zadanie 1.39.
17Zadanie 1.40.
17Zadanie 2.15.
22Zadanie 2.16.
23Zadanie 2.17.
23Zadanie 2.18.
23Zadanie 2.19.
24Zadanie 2.20.
24Zadanie 2.21.
25Zadanie 2.23.
26Zadanie 2.24.
26Zadanie 2.26.
27Zadanie 2.27.
27Zadanie 3.26.
36Zadanie 3.27.
36Zadanie 3.28.
37Zadanie 3.29.
38Zadanie 3.30.
38Zadanie 3.31.
39Zadanie 3.32.
39Zadanie 3.34.
40Zadanie 3.36.
40Zadanie 3.37.
40Zadanie 3.39.
41Zadanie 3.40.
41Zadanie 4.25.
47Zadanie 4.26.
48Zadanie 4.27.
48Zadanie 4.28.
48Zadanie 4.31.
48Zadanie 4.34.
50Zadanie 4.36.
51Zadanie 4.37.
51Zadanie 4.39.
52