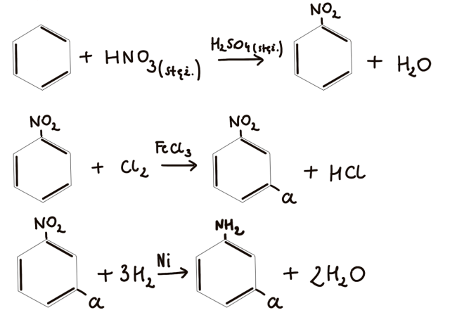
W tym zadaniu należy zapisać równania reakcji prowadzące do otrzymania 3-chloroaniliny.
Aminy aromatyczne to substancje, które są pochodnymi amoniaku. Posiadają atom azotu połączony z atomem węgla bezpośrednio, w którym atom węgla jest w hybrydyzacji sp2 pierścienia aromatycznego.
Zadanie 1.26.
11Zadanie 1.31.
5Zadanie 1.32.
14Zadanie 1.33.
14Zadanie 1.34.
14Zadanie 1.35.
15Zadanie 1.36.
15Zadanie 1.37.
15Zadanie 1.38.
16Zadanie 1.39.
17Zadanie 1.40.
17Zadanie 2.15.
22Zadanie 2.16.
23Zadanie 2.17.
23Zadanie 2.18.
23Zadanie 2.19.
24Zadanie 2.20.
24Zadanie 2.21.
25Zadanie 2.23.
26Zadanie 2.24.
26Zadanie 2.26.
27Zadanie 2.27.
27Zadanie 3.26.
36Zadanie 3.27.
36Zadanie 3.28.
37Zadanie 3.29.
38Zadanie 3.30.
38Zadanie 3.31.
39Zadanie 3.32.
39Zadanie 3.34.
40Zadanie 3.36.
40Zadanie 3.37.
40Zadanie 3.39.
41Zadanie 3.40.
41Zadanie 4.25.
47Zadanie 4.26.
48Zadanie 4.27.
48Zadanie 4.28.
48Zadanie 4.31.
48Zadanie 4.34.
50Zadanie 4.36.
51Zadanie 4.37.
51Zadanie 4.39.
52