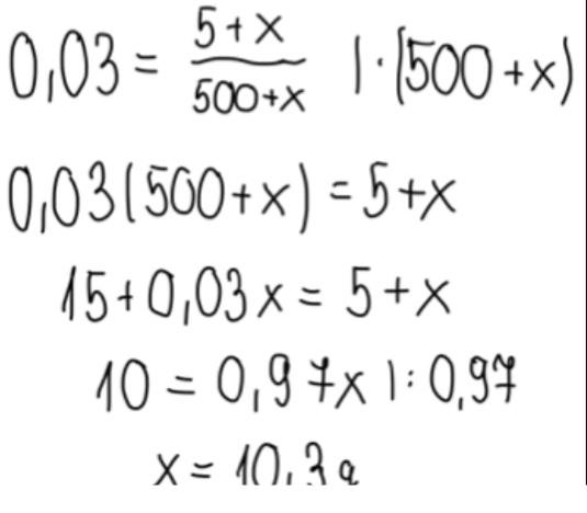
Oblicz, ile gramów soli kuchennej trzeba dodać do 500 g jej roztworu o stężeniu 1%, aby uzyskać roztwór o stężeniu 3%.
Zadanie 1.
Podpunkt a)
Podpunkt b)
Zadanie 2.
Podpunkt c)
Zadanie 3
Zadanie 3.
Zadanie 1
Zadanie 2
Zadanie 4.
Zadanie 5.
Zadanie 6.
Zadanie 7.
Zadanie 8
Zadanie 9
Zadanie 10
Zadanie 11
Zadanie 12
Zadanie 13
Zadanie 14
Zadanie 15
Zadanie 16
Zadanie 17
Zadanie 18
Zadanie 19
Zadanie 20
Zadanie 21
Zadanie 22
Zadanie 23
Zadanie 24
Zadanie 25
Zadanie 26
Zadanie 27
Zadanie 28
Zadanie 29
Zadanie 30
Zadanie 31
Zadanie 32
Zadanie 33
Zadanie 34
Zadanie 35
Zadanie 36
Zadanie 37
Zadanie 38
Zadanie 39
Zadanie 40
Zadanie 41
Zadanie 42
Zadanie 43
Zadanie 44