| HCOOH | CH3CH2OH | HCOOCH2CH3 | H2O | |
| npoczątkowe [mol] | 2 | 2 | 0 | 0 |
| Δn [mol] | -x | -x | +x | +x |
| nrównowagowe [mol] | 2-x | 2-x | x | x |
Zakładamy V = 1 dm3
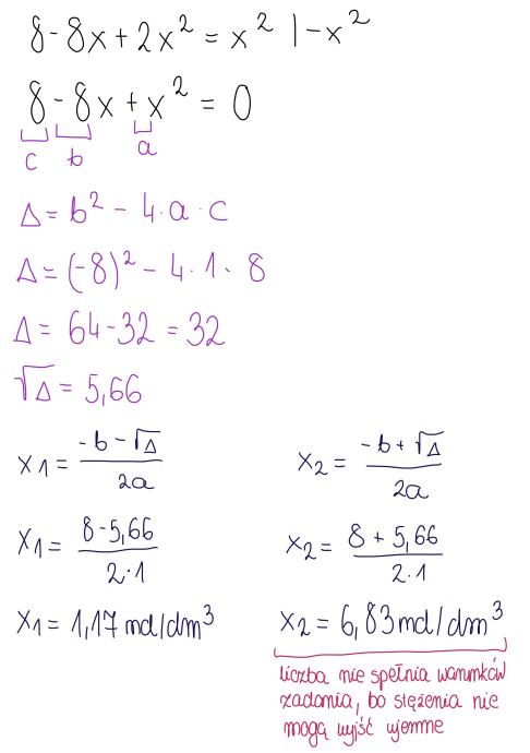
Odrzucamy x2.
Na początku zapisz równanie reakcji estryfikacji.
Sporządź tabelę, która prezentuje liczby moli substratów i produktów: początkowe, równowagowe i zmianę liczby moli:
| HCOOH | CH3CH2OH | HCOOCH2CH3 | H2O | |
| npoczątkowe [mol] | 2 | 2 | 0 | 0 |
| Δn [mol] | -x | -x | +x | +x |
| nrównowagowe [mol] | 2-x | 2-x | x | x |
Z reakcji wynika, że substraty i produkty są do siebie stechiometrycznie w stosunku 1:1, więc ubytek substratów i wzrost ilości moli produktów oznaczamy za x.
Aby skorzystać z wyrażenia na stałą równowagi reakcji estryfikacji, należy założyć, że objętość reaktora to 1 dm3.
Zakładamy V = 1 dm3.
Podstawmy do wzoru oznaczone równowagowe stężenia:
Odrzucamy wynik x2, ponieważ uznanie go za x powodowałoby błędne ustalenia (wartości byłyby ujemne!).
Korzystając z tabeli, obliczamy liczbę moli: