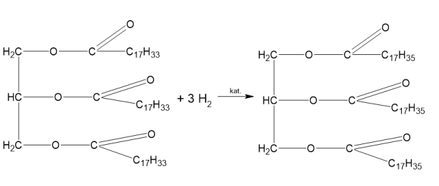
Na początku zapisz równanie reakcji chemicznej:
Wiedząc, że 1 mol tłuszczu reaguje z 3 molami wodoru (warunki normalne), można obliczyć objętość wodoru, który został wykorzystany:
Obliczona objętość jest dla wydajności 90%, więc policz dla 100%: