Związek A:
chloroetan
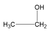
Związek B:
etanol
Związek C:
eten
Związek D:
1,2-dibromoetan
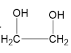
Związek E:
etano-1,2-diol
Reakcja etanu z chlorem w obecności światła daje chloroetan, a ten w reakcji z wodorotlenkiem sodu w środowisku wodnym daje etanol. Etanol w reakcji eliminacji odszczepia cząsteczkę wody i powstaje eten.
Eten w reakcji z bromem daje 1,2-dibromoetan, który znowu w reakcji z wodorotlenkiem sodu w środowisku wodnym daje etano-1,2-diol.