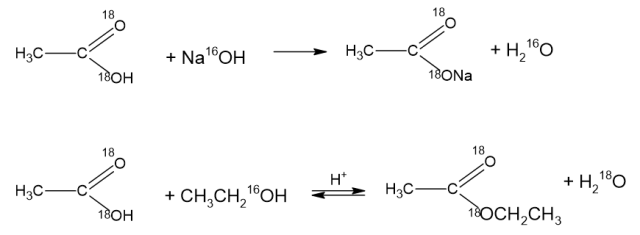
Wiadomo, że kwas karboksylowy ulega reakcji z zasadą i powstaje sól kwasu karboksylowego oraz woda, więc można utworzyć równanie reakcji.
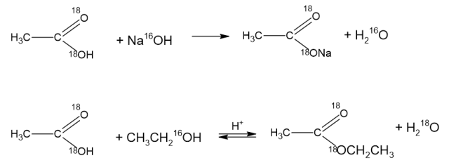
Wiadomo, że w reakcji kwasu karboksylowego z alkoholem powstaje ester i woda, więc można zapisać równanie – tu trzeba pamiętać o tym, z czego powstaje cząsteczka wody (z jakich części obu związków).