1)
2)
3)
4)
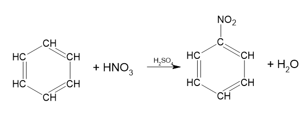
Benzen w nitrowania daje nitrobenzen.
Nitrobenzen w reakcji z wodorem tworzy anilinę.
Anilina z chlorowodorem pod wpływem katalizatora tworzy chlorowodorek aniliny.
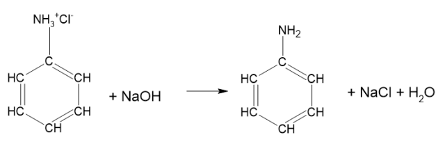
Chlorowodorek aniliny w reakcji z zasadą sodową daje anilinę.