1)
Związek A:
2)
Związek B:
3)
Związek C:
metylobenzen
4)
Związek D:
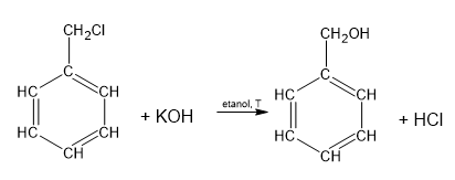
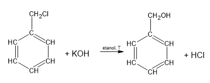
chlorofenylometan
5)
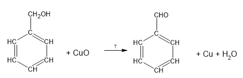
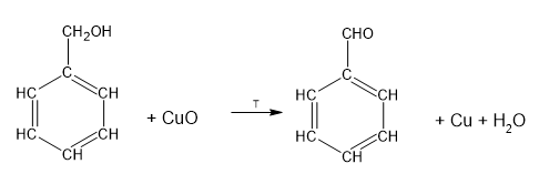
Związek E:
fenylometanol
Z węgliku wapnia i wody powstaje etyn.
Etyn w reakcji trimeryzacji tworzy benzen.
Benzen z chlorometanem pod wpływem AlCl3 daje metylobenzen.
Ten reaguje z chlorem pod wpływem światła, dając chlorofenylometan.
Chlorofenylometan z KOH reaguje, tworząc fenylom etanol.
Fenylometanol jest alkoholem pierwszorzędowym, więc w reakcji utleniania CuO daje benzenokarboaldehyd.