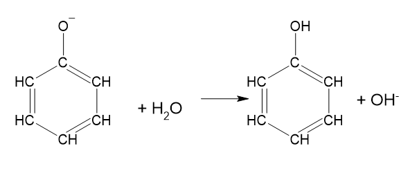
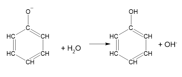
W tym zadaniu napisz równanie reakcji chemicznej, które udowodni odczyn wodnego roztworu fenolanu potasu.
Udowodnić odczyn związku chemicznego pozwala reakcja hydrolizy, czyli reakcja z wodą, która generuje powstanie jonów OH- lub H+.
Zadanie 1.
Podpunkt a)
Podpunkt b)
Podpunkt c)
Podpunkt d)
Zadanie 2.
Zadanie 3.
Zadanie 4.
Zadanie 5.
Zadanie 6.
Zadanie 7.
Zadanie 8.
Zadanie 9.
Zadanie 10.
Podpunkt e)
Podpunkt f)
Podpunkt g)
Podpunkt h)