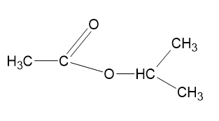
etanian izopropylu
Na początku ustał wzór kwasu karboksylowego:
Wiedząc, że gdy utleniono alkohol powstał związek nie ulegający próbie Trommera możemy wywnioskować, że tym utlenionym związkiem jest keton.
Skoro był to keton, to alkohol musi być drugorzędowy.
Skoro ten alkohol przepuszczono przez ogrzany tlenek glinu i otrzymano propen to alkoholem musi być propan-2-ol.
Reakcja estryfikacji tych dwóch związków dała etanian izopropylu.