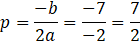
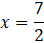
W tym zadaniu musisz wyznaczyć pierwszą współrzędną wierzchołka paraboli.
Oś symetrii paraboli to prosta pionowa
Zadanie 2
236Zadanie 4
236Zadanie 10
236Zadanie 11
237Zadanie 12
237Zadanie 13
237Zadanie 14
237Zadanie 21
238Zadanie 1
239Zadanie 2
239Zadanie 3
239Zadanie 4
239Zadanie 12
240Zadanie 18
240Zadanie 21
241Zadanie 24
241Zadanie 25
241Zadanie 26
241Zadanie 1
242Zadanie 2
242Zadanie 3
242Zadanie 4
242Zadanie 5
242Zadanie 8
243Zadanie 9
243Zadanie 12
243Zadanie 14
244Zadanie 21
244Zadanie 1
245Zadanie 2
245Zadanie 3
245Zadanie 4
245Zadanie 5
245Zadanie 6
245Zadanie 11
246Zadanie 13
246Zadanie 14
246Zadanie 15
246Zadanie 16
246Zadanie 19
246Zadanie 20
247Zadanie 21
247Zadanie 22
247Zadanie 23
247Zadanie 29
247Zadanie 3
248Zadanie 7
248Zadanie 8
248Zadanie 9
248Zadanie 11
249Zadanie 14
249Zadanie 19
249Zadanie 20
250Zadanie 25
250Zadanie 26
250Zadanie 27
250Zadanie 29
251Zadanie 32
251Zadanie 34
251