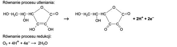
Reakcje utleniania i redukcji to reakcje chemiczne, w których zachodzi wymiana elektronów między reagentami. Zawsze przebiegają jednocześnie i tworzą tzw. reakcję redoks.
Utlenianie to proces, w którym atom, jon lub cząsteczka oddaje elektrony. Towarzyszy temu wzrost stopnia utlenienia danego pierwiastka. Substancja, która oddaje elektrony, nazywana jest reduktorem.
Redukcja to proces, w którym atom, jon lub cząsteczka przyjmuje elektrony. Towarzyszy temu spadek stopnia utlenienia. Substancja, która przyjmuje elektrony, nazywana jest utleniaczem.