Skul.pl
  • Opracowania zadań z podręczników
  • Matura próbna z chemii. Formuła 2023. Poziom rozszerzony. Styczeń 2026
  • Podpunkt 24.2.

Matura próbna z chemii. Formuła 2023. Poziom rozszerzony. Styczeń 2026

Arkusz egzaminacyjny, Wydawnictwo: CKE
Poprzednie

Zadanie 24, 24.2. - strona 25

Następne

Zadanie

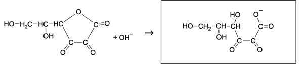
Uzupełnij schemat reakcji kwasu dehydroaskorbinowego z roztworem wodorotlenku i podaj wzór półstrukturalny organicznego produktu tej reakcji.

Rozwiązanie

Skul
Poprzednie
Następne

Chemia - wybrane pytania

Zadanie Chemiczne rachunki 5., strona 72, Chemia. Świat chemii. Klasa 7. Zeszyt ćwiczeń - rozwiązania i odpowiedzi
Ćwiczenie 1., strona 141, Chemia Nowej Ery. Klasa 8. Podręcznik- rozwiązania i odpowiedzi
Zadanie 3, strona 141, Chemia. Klasa 3. Podręcznik. Zakres podstawowy. Wersja 2024 - rozwiązania i odpowiedzi
Ćwiczenie 2., strona 85, Chemia Nowej Ery. Klasa 7. Zeszyt ćwiczeń – rozwiązania i odpowiedzi
Zadanie 7.2.1., strona 117, Chemia. Klasa 7,8. Zbiór zadań- rozwiązania i odpowiedzi
Ćwiczenie 3, strona 157, Chemia. Klasa 2. Podręcznik. Zakres podstawowy. Wersja 2020 – rozwiązania i odpowiedzi
Ćwiczenie 1., strona 96, Świat Chemii. Klasa 7. Podręcznik - rozwiązania i odpowiedzi
Zadanie 4., strona 63, Chemia. Klasa 1. Podręcznik. Zakres podstawowy - rozwiązania i odpowiedzi
Ćwiczenie 18.60., strona 337, Chemia. Klasa 3. Zbiór zadań. Zakres rozszerzony - rozwiązania i odpowiedzi
Ćwiczenie 2., strona 117, Chemia. Klasa 7-8. Zbiór zadań - rozwiązania i odpowiedzi
REKLAMA
Skul
Zadania z tego działu
Matura próbna chemia styczeń 2026 CKE- zadania
1

Zadania przypisane do działu

Zadanie 1

4

Podpunkt 1.1.

4

Podpunkt 1.2.

4

Podpunkt 1.3.

4

Zadanie 2

5

Zadanie 3

5

Podpunkt 3.1.

5

Podpunkt 3.2.

5

Zadanie 4

6

Zadanie 5

7

Zadanie 6

8

Zadanie 7

9

Zadanie 8

10

Podpunkt a)

10

Podpunkt b)

10

Zadanie 9

11

Zadanie 10

12

Zadanie 11

13

Zadanie 12

15

Zadanie 13

16

Zadanie 14

16

Podpunkt a)

16

Podpunkt b)

17

Zadanie 15

17

Zadanie 16

18

Podpunkt 16.1.

18

Podpunkt 16.2.

18

Zadanie 17

19

Zadanie 18

19

Zadanie 19

19

Zadanie 20

20

Zadanie 21

21

Zadanie 22

22

Podpunkt 22.1.

22

Podpunkt 22.2.

22

Zadanie 23

23

Zadanie 24

24

Podpunkt 24.1.

24

Podpunkt 24.2.

25

Podpunkt 24.3.

25

Podpunkt 24.4.

25

Zadanie 25

26

Podpunkt 25.1.

26

Podpunkt 25.2.

26

Podpunkt 25.3.

27

Podpunkt 25.4.

27

Zadanie 26

27

Zadanie 27

28

Zadanie 28

29

Zadanie 29

30
Pełny spis treści
Skul
Artboard 1
Skul.pl
  • Napisz do nas
  • FAQ
  • Mapa Serwisu
  • Google Play
  • App Store

Korzystanie z portalu oznacza akceptację Regulaminu.
Polityka prywatności. Ustawienia preferencji. Copyright: INTERIA.PL 1999-2023 Wszystkie prawa zastrzeżone.