Oblicz pole trójkąta, wiedząc, że obwód jest równy 18, a wysokość opuszczona na podstawę jest o 1 dłuższa od długości tej podstawy.
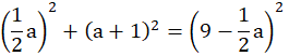
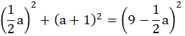
a – długość podstawy
b – długość ramienia
a+1 wysokość
Z twierdzenia Pitagorasa:
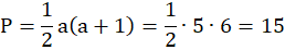
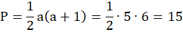
Długość podstawy musi być wartością dodatnią zatem a = 5
Pole trójkąta wynosi 15
Oznacz sobie jako:
a – długość podstawy
b – długość ramienia
a+1 – wysokość
Następnie korzystając ze wzoru na obwód trójkąta, uzależniamy długość ramienia b od długości podstawy a.
Z twierdzenia Pitagorasa dla trójkąta składającego się z wysokości, połowy podstawy trójkąta (są to przyprostokątne) oraz ramienia trójkąta (przeciwprostokątna) oblicz długość podstawy a. Jeżeli trójkąt jest prostokątny, to suma kwadratów długości przyprostokątnych jest równa kwadratowi długości przeciwprostokątnej.
Aby obliczyć pierwiastki równania kwadratowego, skorzystaj ze wzoru na deltę:
Następnie ze wzorów oblicz pierwiastki równania:
lub
Długość podstawy musi być wartością dodatnią zatem a = 5.
Znając wszystkie dane oblicz pole trójkąta równoramiennego.
Pole trójkąta wynosi 15.
Zadanie 1
55Zadanie 4
55Zadanie 5
55Zadanie 6
55Zadanie 7
56Zadanie 8
56Zadanie 9
56Zadanie 12
56Zadanie 15
57Zadanie 17
57Zadanie 18
57Zadanie 19
57Zadanie 20
58Ćwiczenie A
59Zadanie 1
60Zadanie 2
60Zadanie 3
60Zadanie 4
60Zadanie 6
60Zadanie 8
60Zadanie 10
61Ćwiczenie A
64Zadanie D
64Zadanie 1
66Zadanie 2
66Zadanie 5
66Zadanie 9
66Zadanie 10
67Zadanie 12
66Zadanie 15
66Zadanie 19
67Zadanie 20
67Zadanie 22
67Ćwiczenie A
70Zadanie 1
76Zadanie 8
77Zadanie 19
79Zadanie 21
79Zadanie 22
79Zadanie 27
80Zadanie 29
80Ćwiczenie D
82Zadanie 1
84Zadanie 3
85Zadanie 11
85Zadanie 14
86Zadanie 17
87Zadanie 19
87