W tym zadaniu oblicz długości wszystkich boków trójkąta, znając długości jego wysokości oraz obwód, który wynosi 42.
a, b, c – długości boków trójkąta
ha, hb, hc, – wysokości poprowadzone na boki a, b, c
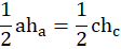
Ze wzoru na pole trójkąta:
Wyznacz a:
Boki tego trójkąta mają długości 13, 14, 15.
Dane:
Wiesz, że
a, b, c to długości boków trójkąta
ha, hb, hc to wysokości poprowadzone na boki a, b, c
Wiesz, że obwód trójkąta jest równy 42 zatem:
Znasz także długości wysokości:
Wiedząc, że iloczyn połowy wysokości oraz długości boku, na którą opuszczona jest ta wysokość to pole trójkąta, możesz wypisać 3 wzory na pole tego samego trójkąta, znając 3 różne wysokości:
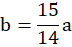
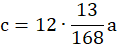
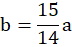
Porównując je ze sobą, otrzymasz informacje na temat stosunków długości boków:
Następnie znając długości boków b i c uzależnionych od długości boku a, znając obwód trójkąta, możesz bez problemu wyliczyć długości odpowiednich boków.
Zadanie 1
55Zadanie 4
55Zadanie 5
55Zadanie 6
55Zadanie 7
56Zadanie 8
56Zadanie 9
56Zadanie 12
56Zadanie 15
57Zadanie 17
57Zadanie 18
57Zadanie 19
57Zadanie 20
58Ćwiczenie A
59Zadanie 1
60Zadanie 2
60Zadanie 3
60Zadanie 4
60Zadanie 6
60Zadanie 8
60Zadanie 10
61Ćwiczenie A
64Zadanie D
64Zadanie 1
66Zadanie 2
66Zadanie 5
66Zadanie 9
66Zadanie 10
67Zadanie 12
66Zadanie 15
66Zadanie 19
67Zadanie 20
67Zadanie 22
67Ćwiczenie A
70Zadanie 1
76Zadanie 8
77Zadanie 19
79Zadanie 21
79Zadanie 22
79Zadanie 27
80Zadanie 29
80Ćwiczenie D
82Zadanie 1
84Zadanie 3
85Zadanie 11
85Zadanie 14
86Zadanie 17
87Zadanie 19
87