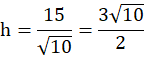
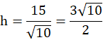
W tym zadaniu oblicz długości wysokości trójkąta o bokach długości 5, 15,
Wysokości trójkąta są równe 5, 15,
Sprawdź, czy długości boków trójkąta spełniają twierdzenie Pitagorasa.
Twierdzenie Pitagorasa mówi, że suma kwadratów długości przyprostokątnych trójkąta prostokątnego jest równa kwadratowi długości przeciwprostokątnej tego kwadratu.
Trójkąt jest prostokątny na mocy twierdzenia odwrotnego do Pitagorasa.
Z twierdzenia odwrotnego do twierdzenia Pitagorasa wynika, że jeżeli suma pól kwadratów zbudowanych na krótszych bokach trójkąta jest równa polu kwadratu zbudowanego na najdłuższym boku, to trójkąt ten jest prostokątny.
Dwie wysokości trójkąta są przyprostokątnymi. Oznacz trzecią wysokość jako h.
Następnie skorzystaj ze wzoru na pole trójkąta i wyznacz niewiadomą.
Zadanie 1
55Zadanie 4
55Zadanie 5
55Zadanie 6
55Zadanie 7
56Zadanie 8
56Zadanie 9
56Zadanie 12
56Zadanie 15
57Zadanie 17
57Zadanie 18
57Zadanie 19
57Zadanie 20
58Ćwiczenie A
59Zadanie 1
60Zadanie 2
60Zadanie 3
60Zadanie 4
60Zadanie 6
60Zadanie 8
60Zadanie 10
61Ćwiczenie A
64Zadanie D
64Zadanie 1
66Zadanie 2
66Zadanie 5
66Zadanie 9
66Zadanie 10
67Zadanie 12
66Zadanie 15
66Zadanie 19
67Zadanie 20
67Zadanie 22
67Ćwiczenie A
70Zadanie 1
76Zadanie 8
77Zadanie 19
79Zadanie 21
79Zadanie 22
79Zadanie 27
80Zadanie 29
80Ćwiczenie D
82Zadanie 1
84Zadanie 3
85Zadanie 11
85Zadanie 14
86Zadanie 17
87Zadanie 19
87