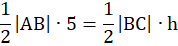
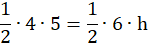
Twoim zadaniem jest policzenie wysokości trójkąta ABC opuszczonej na bok BC, wiedząc, że |AB| = 4 i |BC| = 6, a wysokość opuszczona na bok AB ma długość 5
Prawidłowa odpowiedz to B.
h – wysokość opuszczona na bok BC
Pole trójkąta możesz policzyć na dwa sposoby, wykorzystując odcinek |AB| i opuszczona na niego wysokość lub wykorzystując odcinek |BC| i opuszczoną na niego wysokość h. Zauważ, że jedyną niewiadomą w zadaniu jest wysokość h, obliczysz ją, porównując ze sobą wspomniane wyżej wzory na pole trójkąta.
Zadanie 1
55Zadanie 4
55Zadanie 5
55Zadanie 6
55Zadanie 7
56Zadanie 8
56Zadanie 9
56Zadanie 12
56Zadanie 15
57Zadanie 17
57Zadanie 18
57Zadanie 19
57Zadanie 20
58Ćwiczenie A
59Zadanie 1
60Zadanie 2
60Zadanie 3
60Zadanie 4
60Zadanie 6
60Zadanie 8
60Zadanie 10
61Ćwiczenie A
64Zadanie D
64Zadanie 1
66Zadanie 2
66Zadanie 5
66Zadanie 9
66Zadanie 10
67Zadanie 12
66Zadanie 15
66Zadanie 19
67Zadanie 20
67Zadanie 22
67Ćwiczenie A
70Zadanie 1
76Zadanie 8
77Zadanie 19
79Zadanie 21
79Zadanie 22
79Zadanie 27
80Zadanie 29
80Ćwiczenie D
82Zadanie 1
84Zadanie 3
85Zadanie 11
85Zadanie 14
86Zadanie 17
87Zadanie 19
87