Skul.pl
  • Opracowania zadań z podręczników
  • Chemia. Klasa 3. Podręcznik. Zakres rozszerzony- rozwiązania i odpowiedzi
  • Ćwiczenie 3

Chemia. Klasa 3. Podręcznik. Zakres rozszerzony- rozwiązania i odpowiedzi

Podręcznik, Wydawnictwo: Operon
Poprzednie

Ćwiczenie 3 - strona 341

Następne

Zadanie

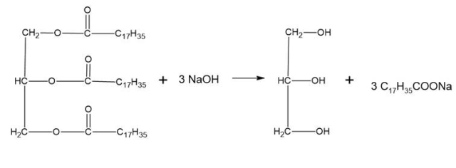
W tym zadaniu napisz reakcję tłuszczu z wodorotlenkiem sodu.

Rozwiązanie

Skul

Wyjaśnienie

Reakcja tłuszczu z wodorotlenkiem to reakcja zmydlania, w której powstaje mydło i glicerol.

Poprzednie
Następne

Chemia - wybrane pytania

Ćwiczenie 2., strona 259, To jest chemia. Klasa 1. Podręcznik. Zakres rozszerzony - rozwiązania i odpowiedzi
Zadanie 18, strona 23, NOWA To jest chemia 1. Klasa 1. Karty pracy z kartami laboratoryjnymi. Zakres rozszerzony. Wersja 2024- rozwiązania i odpowiedzi
Pytanie 1, strona 93, Chemia. Klasa 1. Podręcznik. Zakres podstawowy. Część 1 – rozwiązania i odpowiedzi
Zadanie 61., strona 44, Chemia. Klasa 1. Zbiór zadań. Zakres rozszerzony - rozwiązania i odpowiedzi
Zadanie 54, strona 74, To jest chemia 2. Maturalne karty pracy z kartami laboratoryjnymi dla liceum ogólnokształcącego i technikum. Klasa 2. Zakres rozszerzony- rozwiązania i odpowiedzi
Zadanie 110., strona 15, Chemia. Klasa 1. Zbiór zadań. Zakres rozszerzony - rozwiązania i odpowiedzi
Zadanie 5., strona 44, Chemia Nowej Ery. Klasa 7. Podręcznik - rozwiązania i odpowiedzi
Zadanie 7.4.10., strona 29, Chemia. Klasa 8. Zbiór zadań- rozwiązania i odpowiedzi
Zadanie 1.6., strona 96, Chemia. Klasa 8. Zbiór zadań- rozwiązania i odpowiedzi
Zadanie 2.29., strona 27, Chemia. Zbiór zadań. Zakres rozszerzony- rozwiązania i odpowiedzi
REKLAMA
Skul
Zadania z tego działu
V. Chemia życia codziennego
365
1. Włókna celulozowe, białkowe, sztuczne i syntetyczne. Opakowania
326

Ćwiczenie 1

329

Ćwiczenie 2

331

Podpunkt a)

331

Podpunkt b)

331

Podpunkt c)

331

Podpunkt d)

331

Ćwiczenie 3

332

Zadanie 1

335

Zadanie 2

335

Zadanie 3

335

Zadanie 4

335

Zadanie 5

335

Zadanie 6

335

Zadanie 7

335

Zadanie 8

335

Podpunkt a)

335

Podpunkt b)

335

Podpunkt c)

335

Podpunkt d)

335

Zadanie 9

335

Zadanie 10

335
2. Chemia kosmetyków. Chemia gospodarcza
336

Ćwiczenie 1

336

Ćwiczenie 2

340

Ćwiczenie 3

341

Ćwiczenie 4

342

Ćwiczenie 5

342

Zadanie 1

344

Zadanie 2

344

Zadanie 3

344

Zadanie 4

344

Zadanie 5

344

Zadanie 6

344

Zadanie 7

344

Zadanie 8

344

Podpunkt a)

344

Podpunkt b)

344

Zadanie 9

344

Zadanie 10

344
3. Lek czy trucizna
345

Ćwiczenie 1

348

Ćwiczenie 2

349

Ćwiczenie 3

349

Ćwiczenie 4

349

Ćwiczenie 5

350

Ćwiczenie 6

350

Ćwiczenie 7

351

Zadanie 1

352

Zadanie 2

352

Zadanie 3

352

Zadanie 4

352

Zadanie 5

352

Zadanie 6

352

Zadanie 7

352

Zadanie 8

352
4. Procesy fermentacji. Konserwowanie żywności
353

Ćwiczenie 1

357

Ćwiczenie 2

358

Ćwiczenie 3

358

Zadanie 1

359

Zadanie 2

359

Podpunkt a)

359

Podpunkt b)

359

Podpunkt c)

359

Zadanie 3

359

Podpunkt a)

359

Podpunkt b)

359

Podpunkt c)

359

Podpunkt d)

359

Zadanie 4

359

Zadanie 5

359

Zadanie 6

359

Zadanie 7

359

Zadanie 8

359
Pełny spis treści
Skul
Artboard 1
Skul.pl
  • Napisz do nas
  • FAQ
  • Mapa Serwisu
  • Google Play
  • App Store

Korzystanie z portalu oznacza akceptację Regulaminu.
Polityka prywatności. Ustawienia preferencji. Copyright: INTERIA.PL 1999-2023 Wszystkie prawa zastrzeżone.