2NO + O2
Objętość reaktora to 1 dm3, więc liczby moli można przyjąć za stężenia.
| 2NO | O2 | |
| Stężenie początkowe | 3X | X |
| Zmiana stężenia | -2y | -y |
| Stężenie równowagowe | 3 | 0,75 |
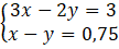
Na początku zauważ, że objętość reaktora to 1 dm3, więc liczby moli można uznawać jako stężenia. Narysuj tabelę, w której zapiszesz zależności pomiędzy stężeniem początkowym, zmianą stężenia, a stężeniem równowagowym. Wiadomo, że tlenku azotu(II) wprowadzono 3 razy więcej, dlatego stężenie początkowe tlenu oznaczono X, a tlenku azotu(II) 3X:
| 2NO | O2 | |
| Stężenie początkowe | 3X | X |
| Zmiana stężenia | -2y | -y |
| Stężenie równowagowe | 3 | 0,75 |
Ułóż układ równań, z którego obliczysz stężenia początkowe: