Zadanie

W tym zadaniu oblicz, ile razy trzeba zmienić stężenie wodoru, żeby szybkość reakcji się nie zmieniła, jeśli wiadomo, że stężenie par benzenu zmniejszyło się 15,625 razy.

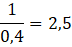
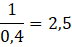
Rozwiązanie

Wyjaśnienie

Zadania z tego działu
Kinetyka i statyka chemiczna. Energetyka reakcji chemicznych
51

Zadania przypisane do działu

Zadanie 3.

52

Zadanie 5.

52

Zadanie 6.

52

Zadanie 11.

53

Zadanie 14.

54

Zadanie 38.

60

Zadanie 54.

62

Zadanie 67.

63

Zadanie 82.

65

Zadanie 83.

65

Zadanie 95.

67

Zadanie 101.

68

Zadanie 103.

68

Zadanie 106.

68

Zadanie 108.

69

Zadanie 109.

69

Zadanie 111.

69

Zadanie 112.

69