| CO2 | 3H2 | CH3OH | H2O | |
| Cpoczątkowe [mol/dm3] | 2,5 | 2,5 | 0 | 0 |
| ΔC | -x | -3x | +x | +x |
| Crównowagowe [mol/dm3] | 2,5-x | 1 | x | x |
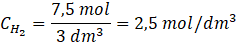
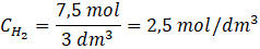
Na początku oblicz stężenia reagentów i nieprzereagowanego wodoru:
Oblicz stężenia równowagowe:
Teraz oblicz stałą równowagi: