H2(g) + S(s)
| H2 | S | H2S | |
| Cpoczątkowe [mol/dm3] | 0,3 | 0,7 | 0 |
| ΔC | -x | -x | +x |
| Crównowagowe [mol/dm3] | 0,3-x | 0,7-x | x |
Zacznij od zapisania reakcji:
H2(g) + S(s)
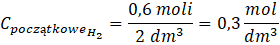
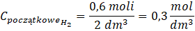
Oblicz stężenia początkowe:
Sporządź tabelę z zależnościami:
| H2 | S | H2S | |
| Cpoczątkowe [mol/dm3] | 0,3 | 0,7 | 0 |
| ΔC | -x | -x | +x |
| Crównowagowe [mol/dm3] | 0,3-x | 0,7-x | x |
Napisz wyrażenie na stałą równowagi (pomiń stężenie siarki – ciało stałe):
Wykorzystaj podane w poleceniu dane oraz obliczone w tabeli do wyznaczenia x:
Oblicz stężenie równowagowe wodoru: