CH4(g) + 2Cl2(g)
| CH4 | 2 Cl2 | CH2Cl2 | 2 HCl | |
| Cpoczątkowe [mol/dm3] | 2,25 | 2,5 | 0 | 0 |
| ΔC | -x | -2x | +x | +2x |
| Crównowagowe [mol/dm3] | 2,25-x | 2,5-2x | 0,75 | 2x |
Na początku zapisz reakcję:
CH4(g) + 2Cl2(g)
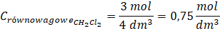
Oblicz stężenia z podanych liczby moli i objętości:
Sporządź tabelę z zależnościami:
| CH4 | 2 Cl2 | CH2Cl2 | 2 HCl | |
| Cpoczątkowe [mol/dm3] | 2,25 | 2,5 | 0 | 0 |
| ΔC | -x | -2x | +x | +2x |
| Crównowagowe [mol/dm3] | 2,25-x | 2,5-2x | 0,75 | 2x |
Oblicz x:
Oblicz stężenia równowagowe:
Zapisz wzór na stężeniową stałą równowagi i podstaw dane:
Z równania Clapeyrona oblicz ciśnienia cząstkowe:
Zapisz wzór na ciśnieniową stałą równowagi i podstaw dane: