W tym zadaniu oblicz ilość ciepłą, jaką należałoby dostarczyć do układu, by z dwutlenku węgla i pary wodnej otrzymać 45 g CH4.
Reakcji spalania metanu towarzyszy entalpia:
Więc reakcji odwrotnej:
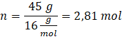
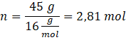
Oblicz liczbę moli metanu, znając jego masę:
Wiedząc, że aby otrzymać 1 mol metanu, należy dostarczyć 890,4 kJ energii, więc dla 2,81 mola:
Zadanie 1.
Zadanie 2.
Zadanie 3.
Podpunkt a)
Podpunkt b)
Podpunkt c)
Zadanie 4.
Zadanie 5.
Podpunkt d)
Podpunkt e)
Podpunkt f)
Zadanie 6.
Zadanie 7.
Zadanie 8.
Zadanie 9.
Zadanie 10.
Zadanie 11.
Zadanie 12.
Zadanie 13.
Zadanie 14.
Zadanie 15.
Zadanie 16.
Zadanie 17.
Zadanie 18.
Zadanie 19.
Zadanie 20.
Zadanie 21.
Zadanie 22.
Zadanie 23.
Zadanie 24.
Zadanie 25.
Zadanie 26.
Zadanie 27.
Zadanie 28.
Zadanie 29.
Zadanie 30.
Zadanie 31.
Zadanie 32.
Zadanie 33.
Zadanie 34.
Zadanie 35.
Zadanie 36.
Zadanie 37.
Zadanie 38.
Zadanie 39.
Zadanie 40.
Zadanie 41.
Zadanie 42.
Zadanie 43.
Zadanie 44.
Zadanie 45.
Zadanie 46.
Zadanie 47.
Zadanie 48.
Zadanie 49.
Zadanie 50.
Zadanie 51.
Zadanie 52.
Zadanie 53.
Zadanie 54.
Zadanie 55.
Zadanie 56.
Zadanie 57.
Zadanie 58.
Zadanie 59.
Zadanie 60.
Zadanie 61.
Zadanie 62.
Zadanie 63.
Zadanie 64.
Zadanie 65.
Zadanie 66.
Zadanie 67.
Zadanie 68.
Zadanie 69.
Zadanie 70.
Zadanie 71.
Zadanie 72.
Zadanie 73.
Zadanie 74.
Zadanie 75.
Zadanie 76.
Zadanie 77.
Zadanie 78.
Zadanie 79.
Zadanie 80.
Zadanie 81.
Zadanie 82.
Zadanie 83.
Zadanie 84.
Zadanie 85.
Zadanie 86.
Zadanie 87.
Zadanie 88.
Zadanie 89.
Zadanie 90.
Zadanie 91.
Zadanie 92.
Zadanie 93.
Zadanie 94.
Zadanie 95.
Zadanie 96.
Zadanie 97.
Zadanie 98.
Zadanie 99.
Zadanie 100.
Zadanie 101.
Zadanie 102.
Zadanie 103.
Zadanie 104.
Zadanie 105.
Zadanie 106.
Zadanie 107.
Zadanie 108.
Zadanie 109.
Zadanie 110.
Zadanie 111.
Zadanie 112.