Skoro pojemność to 1 dm3, możemy założyć, że liczba moli jest równa stężeniu:
| H2 | Cl2 | 2 HCl | |
| Cpoczątkowe [mol/dm3] | 2 | 2+4 | 4 |
| ΔC | -x | -x | +2x |
| Crównowagowe [mol/dm3] | 2-x | 6-x | 4+2x |
Zapisz równanie reakcji:
Skoro pojemność to 1 dm3, możemy założyć, że liczba moli jest równa stężeniu:
Narysuj tabelkę:
| H2 | Cl2 | 2 HCl | |
| Cpoczątkowe [mol/dm3] | 2 | 2+4 | 4 |
| ΔC | -x | -x | +2x |
| Crównowagowe [mol/dm3] | 2-x | 6-x | 4+2x |
Zapisz wyrażenie na stałą równowagi:
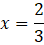
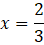
Oblicz stężenia równowagowe: