CH4 + 2Cl2
| CH4 | 2 Cl2 | CH2Cl2 | 2 HCl | |
| Cpoczątkowe [mol/dm3] | 1,8 | 2 | 0 | 0 |
| ΔC | -x | -2x | +x | +2x |
| Crównowagowe [mol/dm3] | 1,8-x | 2-2x | 0,8 | 2x |
Na początku zapisz reakcję:
CH4 + 2Cl2
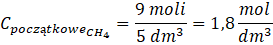
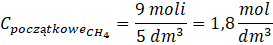
Oblicz stężenia początkowe:
Sporządź tabelę z zależnościami:
| CH4 | 2 Cl2 | CH2Cl2 | 2 HCl | |
| Cpoczątkowe [mol/dm3] | 1,8 | 2 | 0 | 0 |
| ΔC | -x | -2x | +x | +2x |
| Crównowagowe [mol/dm3] | 1,8-x | 2-2x | 0,8 | 2x |
Oblicz x:
Oblicz stężenia równowagowe:
Zapisz wyrażenie na stałą równowagi i oblicz ją: