2NO(g) + O2
| 2 NO | O2 | 2 NO2 | |
| Cpoczątkowe [mol/dm3] | 1,5 | 1,4 | 0 |
| ΔC | -2x | -x | +2x |
| Crównowagowe [mol/dm3] | 1,5-2x | 1,4-x | 1,2 |
Na początku zapisz reakcję:
2NO(g) + O2
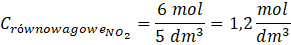
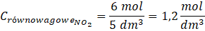
Oblicz stężenia z podanych liczby moli i objętości:
Sporządź tabelę z zależnościami:
| 2 NO | O2 | 2 NO2 | |
| Cpoczątkowe [mol/dm3] | 1,5 | 1,4 | 0 |
| ΔC | -2x | -x | +2x |
| Crównowagowe [mol/dm3] | 1,5-2x | 1,4-x | 1,2 |
Oblicz x:
Oblicz stężenia równowagowe:
Zapisz wzór na stężeniową stałą równowagi i podstaw dane:
Z równania Clapeyrona oblicz ciśnienia cząstkowe:
Zapisz wzór na ciśnieniową stałą równowagi i podstaw dane: