CO2 + H2
Objętość reaktora wynosi 1 dm3, dlatego liczby moli traktujemy jako stężenia.
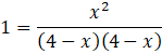
| CO2 | H2 | CO | H2O | |
| Cpoczątkowe [mol/dm3] | 4 | 4 | 0 | 0 |
| ΔC | -x | -x | +x | +x |
| Crównowagowe [mol/dm3] | 4-x | 4-x | x | x |
Na początku zapisz reakcję:
CO2 + H2
Objętość reaktora wynosi 1 dm3, dlatego liczby moli traktujemy jako stężenia.
Sporządź tabelę z zależnościami:
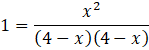
| CO2 | H2 | CO | H2O | |
| Cpoczątkowe [mol/dm3] | 4 | 4 | 0 | 0 |
| ΔC | -x | -x | +x | +x |
| Crównowagowe [mol/dm3] | 4-x | 4-x | x | x |
Oblicz x, korzystając ze stałej równowagi:
Oblicz stężenia równowagowe: