C2H4 + 2H2
Objętość reaktora wynosi 1 dm3, dlatego liczby moli traktujemy jako stężenia.
| C2H4 | 2 H2 | 2 CH4 | |
| Cpoczątkowe [mol/dm3] | A | 2A | 0 |
| ΔC | -x | -2x | +2x |
| Crównowagowe [mol/dm3] | A-x | 2A-2x | 8 |
Na początku zapisz reakcję:
C2H4 + 2H2
Objętość reaktora wynosi 1 dm3, dlatego liczby moli traktujemy jako stężenia.
Sporządź tabelę z zależnościami:
| C2H4 | 2 H2 | 2 CH4 | |
| Cpoczątkowe [mol/dm3] | A | 2A | 0 |
| ΔC | -x | -2x | +2x |
| Crównowagowe [mol/dm3] | A-x | 2A-2x | 8 |
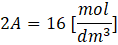
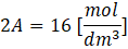
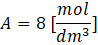
Oblicz x:
Oblicz stężenia równowagowe:
Zapisz wzór na stężeniową stałą równowagi:
Wiedząc, że K = 0,25: