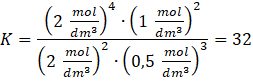
| 2C2H2(g) | 3O2(g) | 4CO | 2H2O(g) | |
| Crównowagowe [mol/dm3] | 2 | 0,5 | 2 | 1 |
Odczytaj z wykresu stężenia równowagowe:
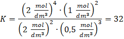
| 2C2H2(g) | 3O2(g) | 4CO | 2H2O(g) | |
| Crównowagowe [mol/dm3] | 2 | 0,5 | 2 | 1 |
Napisz wyrażenie na stałą równowagi:
Podstaw dane i oblicz: