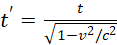
Korzystasz z wzoru na dylatację czasu:
Podstawiając wartości:
Skoro cząstka porusza się z prędkością
Zatem cząstka może przebyć drogę 100 m w układzie laboratorium przed rozpadem.
1. Aby odpowiedzieć na to pytanie, musiszskorzystać z koncepcji dylatacji czasu z teorii względności Einsteina.
2. Po podstawieniu wartości do wzoru na dylatację czasu, oblicz, że w układzie laboratorium czas, w jakim cząstka przebywa odległość 100 m, wynosi około 709 ns.
3. Następnie oblicz odległość, jaką cząstka pokonuje w tym czasie, korzystając z definicji prędkości jako drogi podzielonej przez czas. Wychodzi, że cząstka może przebyć odległość większą niż 100 m w układzie laboratorium przed swoim rozpadem.