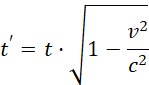
Korzystasz ze wzoru na dylatację czasu w teorii względności:
Gdzie:
Podstawiając wartości do wzoru:
Zatem w układzie odniesienia elektronu minęło 0,6 sekundy.
1. Korzystasz z wzoru na dylatację czasu w teorii względności.
2. Podstaw wszystkie znane wartości do wzoru.
3. Oblicz i wywnioskuj, że w układzie odniesienia elektronu upłynęło 0,6 sekundy.