Zadanie

Korzystając z informacji zawartych w treści zadania, oblicz, ile kadmu wdycha w ciągu dnia osoba, która wypala 20 papierosów i wchłania przy tym 4,4-6 mg kadmu. Do obliczeń przyjmij górne granice danych.

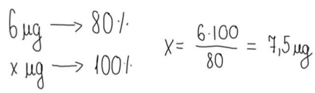
Rozwiązanie

Zadania z tego działu
Kwasy karboksylowe, estry, aminy i amidy
163