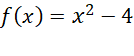
W tym zadaniu musisz znaleźć miejsca zerowe funkcji
Dla
lub
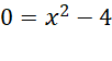
Dla
Dla
Wspólne miejsce zerowe tych funkcji to
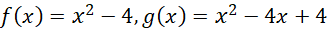
Aby znaleźć miejsce zerowe danej funkcji podstaw y=0 po kolei do każdej z nich i rozwiąż równanie.
Dla
lub
Dla
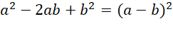
Skorzystaj ze wzoru:
Wspólne miejsce zerowe tych funkcji to
Ćwiczenie 1
10Ćwiczenie 2
10Ćwiczenie 3
10Ćwiczenie 5
11Ćwiczenie 6
11Ćwiczenie 7
12Zadanie 1
12Zadanie 2
12Zadanie 3
12Zadanie 4
12Zadanie 5
12Zadanie 6
12Ćwiczenie 1
13Ćwiczenie 2
13Ćwiczenie 3
14Zadanie 1
14Zadanie 2
14Zadanie 3
14Zadanie 4
14Zadanie 5
14Zadanie 1
15Zadanie 2
15Zadanie 3
15Zadanie 4
15Zadanie 6
15Zadanie 7
15Ćwiczenie 2
17Ćwiczenie 3
17Ćwiczenie 4
17Ćwiczenie 5
18Zadanie 1
18Zadanie 2
18Zadanie 3
18Zadanie 4
18Zadanie 5
18Zadanie 6
18Ćwiczenie 1
19Ćwiczenie 2
19Ćwiczenie 3
19Ćwiczenie 4
20Ćwiczenie 5
21Zadanie 1
22Zadanie 2
22Zadanie 3
22Zadanie 4
22Zadanie 5
22Zadanie 6
22Zadanie 7
22Ćwiczenie 8
22Zadanie 1
23Ćwiczenie 1
24Ćwiczenie 2
24Ćwiczenie 3
25Ćwiczenie 4
25Ćwiczenie 5
25Zadanie 1
26Zadanie 2
26Zadanie 3
26Zadanie 4
26Zadanie 5
26Zadanie 6
26Zadanie 7
26Zadanie 8
26Ćwiczenie 1
27Ćwiczenie 2
27Ćwiczenie 3
27Zadanie 1
28Zadanie 2
28Zadanie 3
28Zadanie 4
28Zadanie 5
28Zadanie 6
28Ćwiczenie 1
30Ćwiczenie 2
31Ćwiczenie 3
31Ćwiczenie 4
32Zadanie 1
32Zadanie 2
32Zadanie 3
32Zadanie 4
32Zadanie 5
32Zadanie 6
32Zadanie 7
33Zadanie 8
33Zadanie 9
33Zadanie 11
33Zadanie 12
33Ćwiczenie 1
34Ćwiczenie 2
35Ćwiczenie 3
35Ćwiczenie 4
35Ćwiczenie 5
36Zadanie 1
36Zadanie 2
36Zadanie 3
36Zadanie 4
36Zadanie 5
36Zadanie 6
36Ćwiczenie 1
37Ćwiczenie 2
38Ćwiczenie 3
38Zadanie 1
39Zadanie 2
39Zadanie 3
39Zadanie 4
39Zadanie 5
39Zadanie 6
39Zadanie 7
39Zadanie 1
40Zadanie 2
40Ćwiczenie 1
41Ćwiczenie 3
42Zadanie 1
43Zadanie 2
43Zadanie 6
43Zadanie 7
43Ćwiczenie 1
44Ćwiczenie 2
44Ćwiczenie 5
45Zadanie 2
45Zadanie 9
46Zadanie 10
46Zadanie 13
46Zadanie 1
47Zadanie 2
47Zadanie 3
48Zadanie 1
49Zadanie 2
49Zadanie 3
49Zadanie 4
49Zadanie 5
49Zadanie 6
49Zadanie 7
49Zadanie 8
49Zadanie 9
50Zadanie 10
50Zadanie 1
50Zadanie 2
50Zadanie 3
50Zadanie 4
50Zadanie 5
50Zadanie 6
50Zadanie 8
51Zadanie 9
51Zadanie 10
51Zadanie 11
51Zadanie 12
51Zadanie 14
51