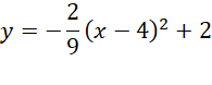
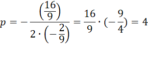
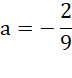
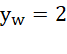
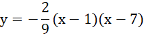
Zadanie

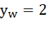
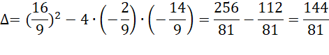
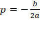
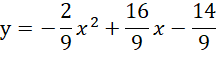
W tym zadaniu musisz znając pierwiastki oraz zbiór wartości Y wskazać zbiór danej funkcji w każdej z postaci: ogólnej, kanonicznej i iloczynowej.

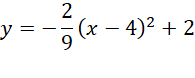
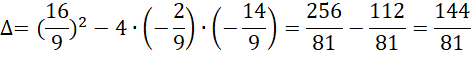
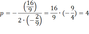
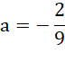
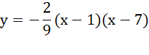
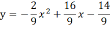
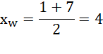
Rozwiązanie

Wyjaśnienie

Zadania z tego działu
1. Funkcja kwadratowa
9
Obliczanie wartości trójmianu kwadratowego – warto powtórzyć
15
Szkicowanie paraboli – warto wiedzieć
23
Układy równań kwadratowych – warto wiedzieć
40
Sposób na zadanie
52