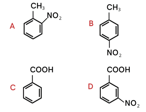
Toluen ma podstawnik metylowy. Podstawnik ten jest podstawnikiem I rodzaju, co oznacza, że kieruje podstawniki w pozycje orto- i para (2- i 4-). Podczas nitrowania powstać może orto-nitrotoluen i para-nitrotoluen (A/B).
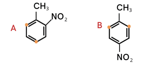
Grupa nitrowa to podstawnik II rodzaju, co oznacza, że kieruje podstawniki w pozycje meta- (3). Orto-nitrotoluen w reakcji nitrowania daje dwie pochodne, a para-nitrotoluen jedną. Oznacza to, że związek A to para-nitrotoluen, a związek B to orto-nitrotoluen. Kropkami zaznaczono miejsca przyłączania kolejnych grup nitrowych – zwróć uwagę, że obie kropki pomarańczowe przy związku B to ten sam efekt:
Benzoesan potasu w reakcji z mocniejszym kwasem (HCl) daje kwas benzoesowy (C) i sól – chlorek potasu. Kwas benzoesowy ulega nitrowaniu dając kwas meta-nitrobenzoesowy. Grupa karboksylowa również jest podstawnikiem II rodzaju.