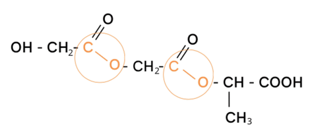
Estry to związki powstałe w reakcji grupy -OH i -COOH. Równanie reakcji zachodzi według schematu:
R1COOH + R2OH → R1COOR2 + H2O, gdzie -R1 i -R2 oznaczają odpowiednie reszty węglowodorowe.
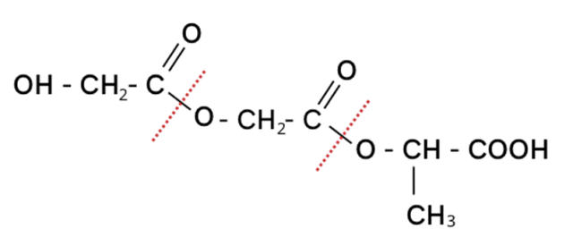
Wiązanie estrowe tworzy się pomiędzy grupą pochodzącą od kwasu a wodorem grupy hydroksylowej alkoholu. Nasz ester składa się z trzech związków, więc są dwa wiązania estrowe. Na rysunku linią przerywaną zaznaczono miejsca, gdzie oddzielałyby się fragmenty: