Skul.pl
  • Opracowania zadań z podręczników
  • Chemia. Klasa 3 szkoły średniej. Podręcznik. Zakres rozszerzony. Wersja 2021 - odpowiedzi i rozwiązania
  • Podpunkt b)

Chemia. Klasa 3 szkoły średniej. Podręcznik. Zakres rozszerzony. Wersja 2021 - odpowiedzi i rozwiązania

Podręcznik, Wydawnictwo: WSiP
Poprzednie

Zadanie 16, b) - strona 404

Następne

Zadanie

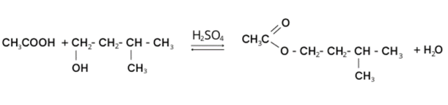
Zapisz równanie reakcji otrzymywania tego estru.

Rozwiązanie

Skul

Wyjaśnienie

Estryfikacja zachodzi według poniższego schematu:

R1COOH + R2OH → R1COOR2 + H2O, gdzie -R1 i -R2 oznaczają odpowiednie reszty węglowodorowe.

W naszym zadaniu powstaje octan 3-metylobut-1-ylu. Oznacza to, że substratami reakcji są: kwas octowy i 3-metylobutan-1-ol. Spójrz na ramki, by dowiedzieć się, skąd bierze się cząsteczka wody jako produkt uboczny:

Poprzednie
Następne

Chemia - wybrane pytania

Ćwiczenie 3.66., strona 65, Chemia. Klasa 3. Zbiór zadań. Zakres rozszerzony - rozwiązania i odpowiedzi
Zadanie 1., strona 172, Chemia. Klasa 2. Podręcznik. Zakres podstawowy. Część 2 – rozwiązania i odpowiedzi
Zadanie zadanie 1., strona 22, Chemia. Klasa 7. Zeszyt ćwiczeń - rozwiązania i odpowiedzi
Ćwiczenie 4., strona 65, Chemia. Klasa 7. Zeszyt ćwiczeń – rozwiązania i odpowiedzi
Zadanie zadanie 28., strona 177, Chemia. Zbiór zadań. Zakres rozszerzony- rozwiązania i odpowiedzi
Ćwiczenie 5., strona 78, Chemia Nowej Ery. Klasa 8. Podręcznik- rozwiązania i odpowiedzi
Zadanie 1, strona 92, Ciekawa chemia. Klasa 8. Zeszyt ćwiczeń – rozwiązania i odpowiedzi
Ćwiczenie 7., strona 155, Świat Chemii. Klasa 7. Podręcznik - rozwiązania i odpowiedzi
Zadanie 18, strona 233, Chemia. Klasa 3. Podręcznik. Zakres podstawowy – rozwiązania i odpowiedzi
Zadanie 4., strona 94, Chemia. Klasa 1. Zbiór zadań. Zakres rozszerzony- rozwiązania i odpowiedzi
REKLAMA
Skul
Zadania z tego działu
Estry i tłuszcze
353
35. Estry
354

Zadanie 1

364

Zadanie 2

364
36. Zastosowania estrów
365

Zadanie 1

376

Zadanie 2

376
37. Tłuszcze
377

Zadanie 1

394

Zadanie 2

394

Podpunkt a)

394

Podpunkt b)

394

Podpunkt c)

394

Ćwiczenie 3

394
Podsumowanie działu
395

Zadanie 1

399

Podpunkt a)

399

Podpunkt b)

399

Zadanie 2

399

Podpunkt a)

399

Podpunkt b)

399

Zadanie 3

399

Podpunkt a)

399

Podpunkt b)

399

Podpunkt c)

399

Zadanie 4

399

Zadanie 5

399

Zadanie 6

399

Zadanie 7

400

Podpunkt a)

400

Podpunkt b)

400

Zadanie 8

400

Podpunkt a)

400

Podpunkt b

400

Zadanie 9

400

Podpunkt a)

400

Podpunkt b)

400

Podpunkt c)

400

Zadanie 10

400

Zadanie 11

400

Zadanie 12

400
Zadania powtórzeniowe
401

Zadanie 1

401

Zadanie 2

401

Podpunkt a)

401

Podpunkt b)

401

Podpunkt c)

401

Zadanie 3

402

Zadanie 4

402

Zadanie 5

402

Zadanie 6

402

Zadanie 7

402

Zadanie 8

402

Zadanie 9

403

Zadanie 10

403

Podpunkt a)

403

Podpunkt b)

403

Zadanie 11

403

Zadanie 12

403

Zadanie 13

404

Podpunkt a)

404

Podpunkt b)

404

Zadanie 14

404

Zadanie 15

404

Podpunkt a)

404

Podpunkt b)

404

Zadanie 16

404

Podpunkt a)

404

Podpunkt b)

404

Zadanie 17

404

Zadanie 18

405

Podpunkt a)

405

Podpunkt b)

405

Zadanie 19

405

Zadanie 20

405

Zadanie 21

406

Podpunkt a)

406

Podpunkt b)

406

Podpunkt c)

406

Zadanie 22

406

Podpunkt a)

406

Podpunkt b)

406

Podpunkt c)

406

Podpunkt d)

406

Zadanie 23

407

Zadanie 24

407

Podpunkt a)

407

Podpunkt b)

407

Podpunkt c)

407

Zadanie 25

407
Pełny spis treści
Skul
Artboard 1
Skul.pl
  • Napisz do nas
  • FAQ
  • Mapa Serwisu
  • Google Play
  • App Store

Korzystanie z portalu oznacza akceptację Regulaminu.
Polityka prywatności. Ustawienia preferencji. Copyright: INTERIA.PL 1999-2023 Wszystkie prawa zastrzeżone.