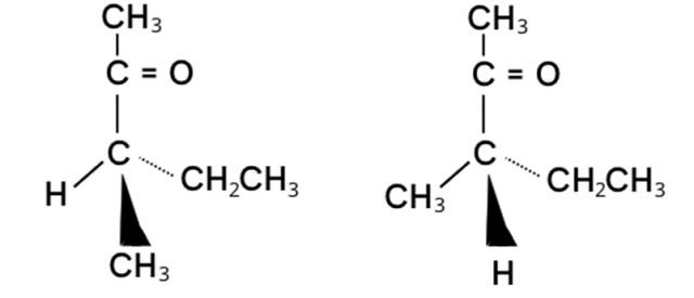
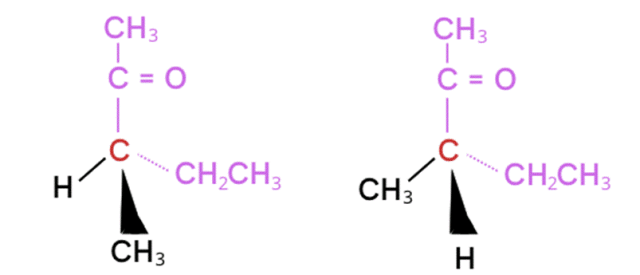
Najpierw zapisz wzór półstrukturalny ketonu B. Alkohole drugorzędowe utleniają się do ketonów i grupa ketonowa zajmuje miejsce grupy hydroksylowej.
CH3—CO—CH(CH3)—CH2—CH3
We wzorach perspektywicznych wiązania leżące w płaszczyźnie zaznaczamy cienką ciągłą linią. WIązania pod płaszczyzną zaznaczamy linią przerywaną, a wiązania skierowane ponad płaszczyzną – „trójkątną” linią. Łańcuch główny zaznaczono na czerwono. Pozostałe dwie gałęzie warunkują wygląd enancjomeru. Chiralny atom węgla (atom z czterema różnymi podstawnikami) zaznaczono na czerwono.