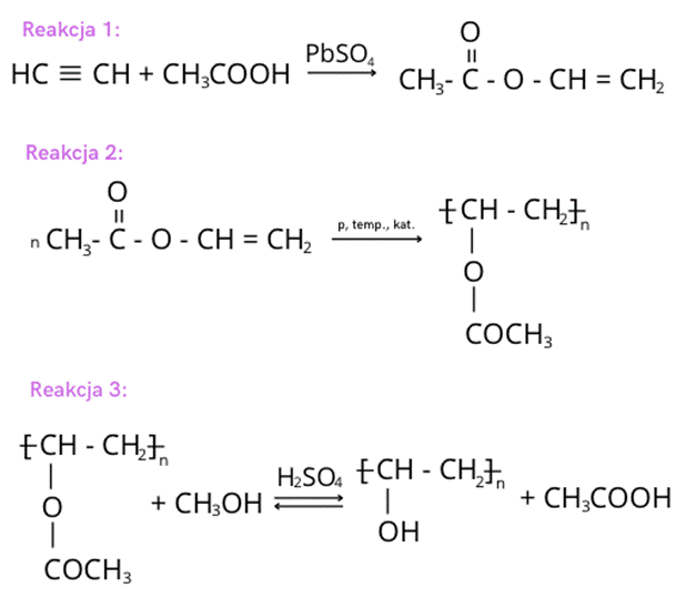
Reakcja pierwsza polega na addycji. Pęka jedno z wiązań w wiązaniu potrójnym w acetylenie. Do jednego z atomów węgla dołącza się drugi atom wodoru, a do drugiego – pozostała część kwasu octowego (CH3COO—).
Druga reakcja to polimeryzacja. Polimeryzacja to proces, w trakcie którego z wielu cząsteczek związku z wiązaniem wielokrotnym (monomeru) tworzy się wielkocząsteczkowy związek (polimer). Reakcja ta zachodzi w odpowiednich warunkach zgodnie z równaniem:
nX=X —p, temp., kat.→ -[-X—X-]-n
Rozerwaniu ulega zatem wiązanie wielokrotne. Pęknięcie wiązania zaznaczono na czerwono:
Trzecia reakcja to transestryfikacja. Równanie tej reakcji zachodzi zgodnie ze schematem:
alkohol + ester → inny alkohol + inny ester
W tym przypadku z polioctanu winylu i alkoholu metylowego powstaje polialkohol winylowy i octan metylu.