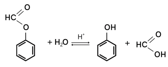
Reakcją charakterystyczną dla fenoli jest reakcja z Fe3+ (najczęściej FeCl3). Pod wpływem chlorku żelaza(III) roztwór fenolu zmienia zabawienie na fioletowo-niebieskie – barwa może się różnić – od granatowego do bordowego – zatem związek C to fenol. Związkiem, który jako jedyny w swoim szeregu ma właściwości redukujące jest kwas metanowy – pozostałe kwasy karboksylowe nie wykazują tej właściwości. Związkiem B jest kwas karboksylowy. W reakcji fenolu z kwasem karboksylowym powstają estry (A) – w tym przypadku metanian fenylu.
Podczas hydrolizy kwasowej dochodzi do odtworzenia substratów, z których powstał ester.