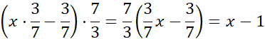
Wyznacz wartość x, wiedząc, że wyrażenie powstałe w wyniku poniższych działań wynosi -1:
Rozwiązanie
Wyjaśnienie
Najpierw zapisz wskazane działania w odpowiedniej kolejności i doprowadź wyrażenie do najprostszej postaci. Następnie przyrównaj wyrażenie do określonej wartości i oblicz niewiadomą x.