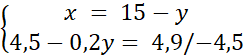
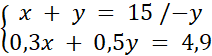
x – ilość kawałków o długości 30 cm
y – ilość kawałków o długości 50 cm
30 cm = 0,3 m, 50 cm = 0,5 m
0,2y = 0,4 / : 0,2
y = 2
x = 15 – y = 15 – 2 = 13
x = 13
Odp.: Otrzymano 13 kawałków o długości 30 cm i 2 kawałki o długości 50 cm.
Zwróć uwagę na jednostki - są różne i trzeba je zamienić. Następnie ułóż układ równań z dwoma niewiadomymi. Przekształcając oba równania jesteś w stanie wyliczyć x oraz y.