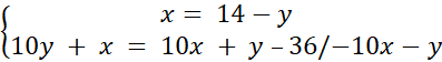
x – cyfra dziesiątek
y – cyfra jedności
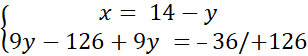
18y = 90 / : 18
y = 5
x = 14 - y = 14 – 5 = 9
x = 9
Odp.: Szukana liczba to 95.
Musisz krok po kroku zapisać informacje z treści przyjmując x jako cyfrę dziesiątek i y jako cyfrę jedności. Zauważ, ze liczba dwucyfrowa, to liczba postaci 10x + y.