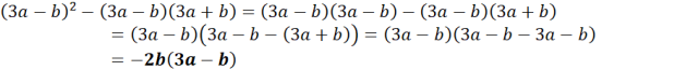
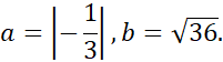
Wykaż, że wyrażenie (3a - b)2 – (3a - b)(3a + b) jest liczbą parzystą dla:
Rozwiązanie
Wyjaśnienie
Przekształć wyrażenie do najprostszej postaci, a następnie podstaw do niego wskazaną wartości a i b. Pamiętaj, aby zredukować wyrazy podobne, na przykład: