Odp.: D. -1
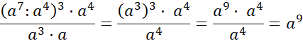
Najpierw wyznacz wartość a, a następnie uprość wskazane wyrażenie, posługując się własnościami potęg. Zauważ, że a to liczba bezwzględna, czyli taka, którą cechują następujące własności:
jeśli a ≥ 0, to |a| = a,
jeśli a < 0, to |-a| = a.