1)
wiek brata – wiek Ewy:
fałsz
2)
wiek brata + wiek Ewy + wiek siostry:
fałsz
3)
wiek Ewy – wiek siostry:
Prawda
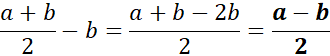
Stwórz wiek Ewy, licząc średnią arytmetyczną z wieku jej rodzeństwa. Średnią tę liczymy dodając wszystkie składniki, a następnie dzieląc je przez ich liczbę. Następnie zweryfikuj zdania, tworząc kolejno: różnicę wieku Ewy i brata, sumę wieku całego rodzeństwa oraz różnicę wieku Ewy i siostry.