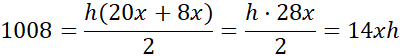
P = 1008 cm2
a = 20x
b = 8x
c = 10x
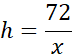
1008 = 14xh
xh = 72 / : x
Twierdzenie Pitagorasa:
h2 = c2 – z2
z = (b – a) : 2
z = 6x
h2 = 100x2 – 36x2 = 64x2
h = 8x
1008 = 112x2 / : 112
x2 = 9
x = 3
h = 8x = 24 cm
Wysokość tego trapezu można przedstawić na dwa sposoby. Skorzystaj ze wzoru na pole trapezu:
oraz z twierdzenia Pitagorasa, który mówi o długościach boków w trójkącie prostokątnym:
a2 + b2 = c2,
gdzie a i b to długości przyprostokątnych, a c długość przeciwprostokątnej.