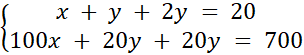
x – ilość banknotów 100 zł
y – ilość banknotów 20 złotowych
2y – ilość banknotów 10 złotowych
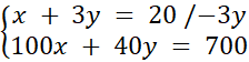
260 y = 1300 / : 260
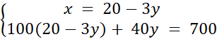
y = 5 – ilość banknotów 100-złotowych
2y = 10 – ilość banknotów 10-złotowych
x = 20 – 3y = 20 – 3 ·5 = 20 – 15 = 5
x = 5 – ilość banknotów 20-złotowych
Odp.: Było 5 banknotów o nominale 100 zł, 5 banknotów 20 złotowych i 10 banknotów 10 złotowych.
Zauważ, że przy równaniu obrazującym kwotę łączną musisz uwzględnić nominał. Wtedy możemy ułożyć układ równań, który doprowadzi nas do obu niewiadomych: xoraz y.